Зарплаты «Челси»
Сегодня мы продолжаем цикл статей с обзорами зарплатных ведомостей английских топ-клубов. После «Арсенала»и «Манчестер Юнайтед» настала очередь двукратных победителей Лиги чемпионов — лондонского «Челси». Недавняя смена владельца пока не приносит ожидаемых результатов: два года без участия в главном еврокубке и никаких титулов на внутренней арене. При третьих (после двух манчестерских клубов) расходах на зарплаты игроков в АПЛ показатели должны быть другими. Давайте взглянем на них подробнее.

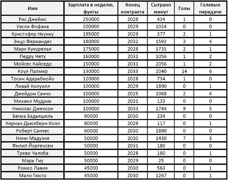
Даже с учетом того, что контракт аренды Джейдона Санчо заканчивается в этом году и он будет выкуплен, средний контракт в «Челси» действует до 2029 года! Для сравнения: в «Манчестер Юнайтед», «Манчестер Сити» и «Тоттенхэме» — до весны 2027-го, а в «Арсенале» и «Ливерпуле» и вовсе до 2026-го. Еще одна тенденция новых владельцев — относительно низкие зарплаты. По суммарным выплатам «Челси» занимает третье место, а вот по средней зарплате среди клубов традиционной большой шестерки — пятое, опережая лишь «Тоттенхэм».
Игроки с самой высокой стоимостью минуты на поле
Десятку игроков, чье игровое время обходится «Челси» дороже всего, открывает Педро Нету. Несмотря на то что подобные трансферы боссы аристократов поставили на поток, ожидания от перехода атакующего игрока за 60 миллионов фунтов явно выше, чем 1+2 по системе гол+пас за полсезона. Минута игрового времени португальца стоит в среднем 3.9 тысячи фунтов, а одно голевое действие — 1.4 миллиона фунтов.
Далее по списку идут два центральных защитника — Уэсли Фофана и Тосин Адарабийо. Француз, сыгравший едва 30 матчей за последние четыре года, вряд ли сможет реализовать свой потенциал и будет числиться в клубе до 2029 года. Его пример наглядно показывает, почему подход Боэли ненадежен. А вот англичанин, пришедший бесплатно, напротив, превосходит ожидания и стал важным игроком обоймы. Им «Челси» платит в среднем 5 тысяч фунтов за минуту игрового времени.
На седьмой строчке рейтинга — второй (а, возможно, вскоре и первый) вратарь «Челси» Филип Йоргенсен. Проведший лишь два матча в АПЛ датчанин в среднем за минуту на поле получает 7.2 тысячи фунтов.
Очередной вечно травмированный французский центральный защитник — Бенуа Бадиашиль — занимает шестую строчку. Минута его игрового времени обходится «Челси» в среднем в 10 тысяч фунтов.
Пятерку открывает Кристофер Нкунку. Перешедший в «Челси» в статусе главной звезды Бундеслиги француз, мягко говоря, не оправдал ожиданий, забив лишь пять голов за полтора сезона в футболке синих. В этом сезоне «Челси» платит Кристоферу в среднем 13.4 тысячи фунтов за минуту на поле, а за одно голевое действие — 1.7 миллиона.
Капитан клуба Рис Джеймс занимает четвертую строчку нашего рейтинга. Англичанин лечится в среднем 34% времени своей карьеры, а если учитывать лишь последние 2.5 года, то получится безумная цифра — 52%. Несмотря на это, в «Челси» все еще на него рассчитывают. Контракт правого защитника действует еще 3.5 года (к слову, он заканчивается раньше всех среди действующих футболистов клуба). В среднем минута игрового времени Риса обходится в 15 тысяч фунтов.
Реинкарнация Дэнни Дринкуотера — Киран Дьюсбери-Холл открывает тройку нашего топа. Один выход в старте и одна голевая передача за более чем полсезона. Напомню, его трансфер обошелся «Челси» в 30 миллионов фунтов. К тому же контракт на пять лет, по которому на данный момент англичанин получает в среднем 18 тысяч фунтов за минуту на поле и 2 миллиона за голевое действие.
Михаил Мудрик, чей контракт действует еще 6.5 лет, недавно вернулся к тренировкам, что, судя по всему, означает потенциальное снятие обвинений в допинге. Украинец, кажется, уже готов оправдывать свой ценник. А пока минута его игрового времени обходится «Челси» в 19.5 тысячи фунтов.
52 тысячи фунтов в среднем платит «Челси» Марку Гиу за минуту на поле — худший показатель в «Челси» в этом сезоне. Этот контракт, в отличие от двух предыдущих, точно нельзя назвать провальным, по крайней мере пока что. Воспитанник «Барселоны» — лучший бомбардир Лиги конференций, ему только исполнилось 19 лет, и потенциал у него точно есть.
Говорить о том, работает ли подход Боули с зарплатным потолком и длинными контрактами, еще рано. Все-таки «Челси» — самая молодая команда АПЛ. За что точно можно похвалить новых владельцев, контракты подобные Маунту/Каземиро в «МЮ» или Габи Жезуса в «Арсенале» синим не грозят, по крайней мере из-за того что в «Челси» никому не дают больше 250 тысяч фунтов в неделю.



















