Кто выше всех подкручивает? Сенсационный выпуск занимательной статистики по спортивным парам. Pair elements statistics
Всем привет!
С вами Паша Тернов и это девятнадцатый выпуск занимательной статистики по фигурному катанию.
И в первую очередь, администрация нашего блога сердечно поздравляет вас с прошедшим Новым Годом и другими праздниками! Потому что лучше поздно, чем очень поздно еще позже.
Олимпийский сезон не щадит никого, включая наш блог, поэтому мы пропустили всю серию ГП и половину нац. турниров. Вернее, все нац. турниры, и вернулись аккурат перед главными стартами сезона. Ну да с кем не бывает. Просто обслуживающий персонал блога получил травму психики и временно на все забил.
Уже очень давно (более полутора лет) у нас не выходило постов по парным видам. Поэтому любители этих видов вероятно уже положили болт на наш блог, все же плохо скрываемая дискриминация здесь прослеживается более чем явно. Чтобы как то реабилитироваться в их глазах, мы решили сегодня не погружаться еще глубже в банальные темы прыжков по льду, а поговорить о действительно куда более высоком искусстве

Хотя, стоп, нет, это не та картинка.
Под куда более высоким искусством мы конечно подразумеваем вот это

(да-да, грузовик с примитивными шутками уже опрокинулся за углом. Base Value. Только качественный юмор)
Этот пост вышел чуть короче, чем предыдущие два (номер 17 и номер 18 про высоту прыжков и крутку у одиночников).
Мы решили развить дальше тему роли физики в фигурном катании и попытаться измерить самые очевидные (бросающиеся в глаза) параметры в парном виде. Во всяком случае, те из них, которые легче всего поддаются расчету. Легче всего поддались расчету подкруты, выбросы и тодесы. Поэтому данный пост состоит из трех мало связанных между собой частей.
В первой части мы представим вам статистику подкруток - мы измерили абсолютную высоту партнерши надо льдом в момент достижения наивысшей точки в воздухе и максимальную угловую скорость в полете. Будет всего три таблицы - две для высот тройных и четверных твистов и одна общая для крутки.
Во втором разделе мы приведем статистику высоты взлета партнерш на выбросах - будет шесть маленьких табличек для самых распространенных выбросов.
В третьем разделе мы приведем статистику по тодесам - мы измерили угловую скорость обращения партнерши вокруг партнера, и, что куда более экстремально, попробовали также посчитать полное число оборотов для каждой пары в тех тодесах, которые они показывали в нынешнем сезоне с точностью до 45 градусов.
Перед тем как перейти к теме поста, пару ремарок к предыдущим двум. Но они совсем короткие, и носят чисто новостной характер:
1. Во-первых, хотим выразить благодарность всем, кто так или иначе способствует распространению нашего контента в интернетах. То есть всем, кто делает репосты в статусах, дает на нас ссылки в своих блогах или где-то в соц. сетях или даже просто упоминает нас в комментах везде, где можно и нельзя. Нельзя сказать, что это мелочь. Все же без обратной отдачи наша мотивация ослабевает и начинается процесс загибания блога (иногда он начинается и без этого).
Недавно на Спортсе проводился опрос на лучший блог о ФК за 2017 год. Мы туда конечно не попали. Но выразим отдельную благодарность нескольким пользователям, которые вспомнили про нас и даже поборолись за нас в комментариях к опросу.
На самом деле, с такой частотой выхода постов глупо рассчитывать на то, что мы можем побороться за звание лучшего блога хотя бы по одному параметру.
2. В предыдущий выпуск по запросам читателей в прыжковую статистику у парней были добавлены Даниель Самохин и Алексей Ерохов. Леша ничем особо не выделился кроме довольно быстрой крутки (думаю, это было ожидаемо). Все прыжки у него относительно низкие, поэтому он попал в тот же диапазон, что и Алиев с Петровым. А вот Даня оказался неплох именно с точки зрения высоты - в частности, взял вторые места по трикселю, квадосальхову и тройному флипу и третье место по квадотулупу. В итоговом рейтинге суммарной высоты он расположился на третьей позиции, уступив только Михаилу Коляде и Хань Яню.
Также некоторый интерес к высоте своих прыжков высказал Морис Квителашвили в инстаграмме у Максима Ковтуна, где тот запостил некоторые из наших табличек (естественно, те, в которых он повыше), но поскольку коммент Мориса мы не можем интерпретировать как просьбу добавить его в рейтинг (может он просто так пошутил, я не знаю), мы пока этого делать не стали.
3. Есть смысл отметить, что данные из 17 выпуска про девушек уже частично устарели, потому что они целиком брались с предыдущего сезона (или даже раньше), а некоторые стали прыгать заметно выше в этом году. В частности, отметим самые интересные (по версии нашего блога) обновления:
-Лутц Полины Цурской в среднем теперь составляет около 59 см в высоту (раньше у нас выходило около 55 см, но при низком фпс на тестовых видео)
-Флип Марии Сотсковой вырос примерно до 52 см (в прошлом сезоне у нас выходило около 47 см в среднем)
-Крутка Алины Загитовой на каскадном риттбергере упала с 5.0 оборотов в секунду в прошлом сезоне до примерно 4.7 оборотов в секунду в текущем
-Количество постов на Спортсе про недокруты Алины Загитовой на каскадном риттбергере выросло в 4 раза с прошлого сезона
-Может быть последние две новости никак не связаны
-Конкретно вот этот лутц Елизаветы Туктамышевой составил примерно 60 см в высоту. Но за него она получила лишь чуть больше, чем +1 от судей.
-Если мы пропустили что-нибудь интересное, оставьте нам комментарий.
4. Две попытки четверного лутца Михаила Коляды с китайского этапа вышли даже еще выше, чем те, что он демонстрировал ранее. Напомним, что раньше у нас выходило около 78 см, на Cup of China наш метод дал около 85 см. Причем, как вы помните, попытка из КП вышла удачной. То есть идеальный баланс по высоте для его лутца по-прежнему непонятен. Видимо просто каждый раз молитесь за исход по окончании третьего оборота.
(*в ПП на ЧР кстати тоже вышло около 85 см)
Четверной лутц Юзуру Ханю с Ростелекома составил примерно 72 см. Впрочем, его лутц также подробно разобралperform-live, у них вышло что-то около 69. Там же можно посмотреть на некоторые другие параметры этого прыжка.
Да, собственно, это все ремарки на данный момент. Мы постараемся и дальше держать вас в курсе событий.
Перейдем к теме поста.
В сегодняшений статистике участвуют 19 спортивных пар. Семнадцать из них являются действующими так как активно принимали участие в соревнованиях текущего сезона. В первую очередь, мы включили пять российских пар: Тарасову-Морозова, Столбову-Климова, Забияко-Энберта, Астахову-Рогонова и юниоров Бойкову-Козловского. И, как обычно, для сравнения добавили зарубежных фаворитов - четыре канадские пары (ну вы их знаете), три китайские пары (вы их знаете), две итальянские пары (вы их знаете?), французов и немцев (их стыдно не знать).
(*шучу, не стыдно. Нет таких правил на Спортсе)
Кроме выше перечисленных мы такжи добавили в пост наших двукратных ОЧ Волосожар-Транькова и двукратных ЧЕ Кавагути-Смирнова.
Для всех действующих пар мы преимущественно смотрели прокаты на этапах Гран При и ФГП текущего сезона, но в некоторых сильно сомнительных случаях обращались к прокатам на второсортных турнирах. В случае Бойковой-Козловского мы смотрели этапы ЮГП текущего сезона и турниры в Минске и Варшаве. Для ВТ мы взяли олимпиаду в Сочи (личный турнир и КП командника). Для КС победный китайский этап 2015 года (но только ПП), где они, в числе прочих, перекатали хозяев этапа - китайцев Суй-Ханя.
(*правильнее было бы сказать перевыбрасывали)
Перед тем как начать, стоит все же отметить, что наши методы измерения высоты подкруток и выбросов в этот раз весьма приблизительные. Если тема измерения высоты обычных прыжков по видео у одиночников была популярной еще до наших выпусков и описание покадрового метода было достаточно неплохо изложено несколько раз на разных форумах разными людьми, то в случае парных элементов у нас почти не было возможности с кем-либо сверяться. Единственный конкретный источник, который мы обнаружили - это некая статья шести авторов, в которой они представили средние результаты замеров разных параметров для 14-ти двойных и 15-ти тройных подкрутов у 11-ти лучших спортивных пар во время произвольных программ на олимпиаде в СЛС в 2002 и в ФГП 2003 года. Правда полный текст статьи мы не нашли, но их таблица средних значений примерно согласуется с результатами нашего метода. Но это конечно не означает, что этим не занимались и активно не занимаются сейчас другие эксперты.
(*Поэтому если вы что-нибудь знаете по этой теме, обязательно напишите в комменты. Тем более, что вероятность найти ошибку или как-нибудь усовершенствовать метод сильно возрастет)
Ну и второе, что, на всякий случай, стоит лишний раз отметить:
ДИСКЛЕЙМЕР: Результаты замеров и соответствующих занимательных "рейтингов" в данном блоге не несут цели улучшить или ухудшить репутацию отдельных фигуристов, судей, тренеров или федераций. Или пропихнуть какие-либо настроения в массы. Мы меряем отдельные характеристики, потому что это интересно, и если кто-то из признанных лидеров не попадет в верхнюю часть какого-нибудь рейтинга, это не значит, что судьи их переоценивают или мы их персонально недолюбливаем. Чтобы дополнительно это подчеркнуть, заметим, что в данном случае пост разбит на 3 независмые части, потому что у спортивных пар много разных элементов. И это добавляет дополнительные возможности и трудности одновременно. У тех же одиночников все делится на прыжки и езду между ними (её еще иногда называют связками) и, соответственно, бывают прыгуны, бывают ездуны, бывают кто и то, и другое (и они обычно формируют абсолютный топ). Схема очень условная, какой конкретно должен быть баланс преимуществ никто не знает, но как то эмпирически (путем длительного обмена оскорблениями) это в конце концов определяется большинством любителей фигурного катания. Наверное. У парников все сложнее - здесь найти спортсменов, которые прямо все элементы делают на высочайшем уровне или хотя бы выше среднего по больничке пока трудно. Но разнообразный контент позволяет находить какие-то сильные стороны почти у всех.
Часть первая. Подкрутки
Подкрутки у всех приличных пар на сегодняший день бывают только двух типов - тройные и (у самых отбитых) четверные. Во всяком случае, в ТОП-15 меньше трех оборотов уже не делают. Причем, в короткой программе четверные пока не разрешены по правилам. Поэтому основной рейтинг высоты будет только по тройным твистам. Квады мы приведем отдельно чисто для сравнения.
Теперь немного теории. Отметим, что её можно пропустить, если вам не очень интересны детали. Такие куски текста у нас теперь всегда выделены курсивом.
В данном случае под высотой мы понимаем максимальное расстояние между партнершей и льдом в полете. Если точнее, это расстояние между центром тяжести партнерши и поверхностью льда. Она складывается, по сути, из трех кусков:
1. Рост партнера (h1)
2. Высота подъема партнерши над головой партнера (так сказать, "длина рук" партнера) (h2)
3. Высота, набираемая партнершей в полете (h3)

Каждый из этих трех кусков мы рассчитываем разными способами.
Ну с ростами партнеров все более менее ясно - их мы берем из официальной базы ISU. Она не всегда обновляется достаточно мобильно, особенно, по части роста. Но поскольку здесь идет речь о взрослых парнях, которым в основном уже хорошо за 20, то можно предположить, что вряд ли этот параметр существенно изменился у кого-либо из них за последние несколько лет. Ну и так как он указан с точностью до сантиметров, то и итоговую высоту мы будем округлять до сантиметров.
Второй кусок - "высоту подъема партнерши над головой" - рассчитать гораздо сложнее. По видео проката (чаще всего это 30 фпс, иногда 60) мы определяем момент отрыва партнерши от рук партнера и считаем следующий кадр первым кадром полета. А "нулевой" кадр исследуем на предмет высоты подъема. Делается это легко, достаточно взять любой графический редактор со встроенной линейкой, измерить количество пикселей в росте партнера h1 (который нам известен), затем количество пикселей в высоте подъема h2 - дальше по известному реальному росту партнера в см легко находим высоту подъема h2 в см. Очень условно, h2 - это расстояние между макушкой партнера и анатомическим центром тяжести партнерши.
Третий и последний кусок h3, как вы уже догадались, считается покадровым методом - по времени нахождения партнерши в воздухе без контакта с партнером.
Ожидать, что погрешность здесь будет низкой, конечно, вновь не приходится. Ну, как минимум, три самые очевидные проблемы состоят в следующем:
Во-первых, отпускание и ловлю партнерши партнер вообще говоря может делать на разной высоте, поэтому в тех случаях, когда ловля происходит сильно ниже (а у пар с проблемными подкрутками это не редкость), третий кусок h3 будет завышен. Мы, понятное дело, стараемся этот момент свести на нет, поэтому, кадр "ловли" берем иногда немного раньше фактического, но определяется это на глаз, по двум картинкам, поэтому здесь субъективная погрешность довольно высока, как от неё избавиться мы пока не придумали.
Во-вторых, второй кусок высоты считается тоже весьма приблизительно, ведь точное местоположение центра тяжести партнерши по картинке не определишь. Обычно в качестве ориентира мы берем верхнюю точку хвата руками талии, иногда немного выше.
Во-третьих, многие партнеры в момент забрасывания партнерши в облака в воздух сами деформируются непредскауземым способом - кто-то из них сгибается под тяжестью непосильного груза (как Майкл Маринаро), кто-то, наоборот, подпрыгивает вслед за партнершей в облака в воздух (как Брюно Массо), а кто-то подпрыгивает и при этом еще и сгибает ноги в полете для придания большего импульса (как Алексей Рогонов). В первом из этих случаев участники явно получат фиктивное преимущество, потому что в первом и втором куске высоты им засчитывается больше сантиметров, чем есть в реальности. Чтобы как-то нивелировать этот момент в некоторых случаях мы добавляем несколько лишних пикселей в h1 (если партнер сильно согнут) или в h2 (если партнер сам оторвался ото льда). Но надо понимать, что все эти действия увеличивают субъективную погрешность.
В итоге, наши результаты скорее всего выйдут немного завышенными относительно реальной высоты. Погрешность здесь явно больше, чем в случае прыжков у одиночников, но так как и сами высоты на порядок больше - в районе двух с половиной / трех метров, то это не так уж страшно.
Всем парам мы посмотрели минимум по две попытки тройного твиста (кроме ЮКАСов). В таблице ниже мы указываем лучшую из них по высоте. В первой колонке суммарная высота (height), во второй время полета партнерши (flight time) - оно прямо пропорционально вкладу от третьего куска высоты, в последней колонке турнир, с которого взята попытка. И вот что вышло:

Ожидаемо? Для нас скорее да, чем нет. Все же визуально именно Алена больше всех проводит времени в воздухе за две программы. Во время 3Tw4 она висит там настолько долго, что Брюно может даже сгонять пропустить пару пива за это время. Но это рисковое мероприятие.
Второй результат достался нашим ОЧ и сразу можно заметить, что, на самом деле, Таня в воздухе находится столько же времени, сколько и Савченко - взлетает примерно на 78 с половиной сантиметров. Примерно на высоту лутца Коляды, чтобы вы понимали масштабы. Не бережет Максим жену
(*правда, тогда она еще не была женой)
Чем объяснить разницу между первым и вторым местом? С одной стороны, Траньков (согласно базе ИСУ) вроде бы выше Массо на 3 см, но за счет других мелких деталей (например, Брюно ощутимо выше подпрыгивает, может сильнее вытягивает руки) эта разница в 7 см в куске h2 и набежала.
Отметим еще, что у ВТ настолько высокой вышла только одна попытка с командника. Остальные три попытки с сезона 13/14, которые мы посмотрели, составили в районе 297-303 см со временем полета меньше 0.75 сек. У немцев же все свежие попытки больше 305 см. То есть, скорее всего, первое место СМ здесь уместно.
Самый высокий рост согласно базе ИСУ у Владимира Морозова, но полет Евгении Тарасовой в воздухе по времени все же немного меньше, чем у СМ и ВТ. Здесь им досталась бронза. Тем не менее, остальные попытки у ТМ не сильно отличаются по высоте от серебрянных призеров, поэтому между вторым и третьим местом здесь разница даже более условная, чем между первым и вторым. Тем более, что мы не смотрели попытки ТМ с прошлых сезонов.
Что касается американцев, то у них вторые и далее попытки сильно ниже ТМ, поэтому четвертое место скорее всего уместно, несмотря на одинаковую лучшую попытку с третьим местом.
Остальные пары вне первой четверки менее интересны, ну отметим еще, что очень неплохо себя проявили наши юниоры БК.
Одни из самых проблемных подкруток из топов у СК и ДР. В случае канадцев видно, что Эрик не очень высоко подбрасывает Меган (около 40 см), в случае Столбовой-Климова подброс повыше (50 см), но Федя на 7 см ниже Эрика + подъема на руках практически нет (ну видимо, из-за травмированного плеча).
Вторая табличка намного короче первой, в ней мы рассчитали те же параметры для четверных твистов. Но в этом рейтинге принимают участие лишь четыре пары:

Вот в этот раз СКК оказались все же чуть выше, чем ТМ. Их единственная попытка квадоподкрута с нац. чемпионата вышла довольно приличной.
Здесь весьма показательно то, что высоты почти у всех квадистов практически такие же, как и на их же тройных. Маленькие китайцы добавили всего лишь 12 см, американцы - 4 см, наши ТМ - только 3 см, а полубольшие китайцы вообще даже потеряли 3 см. То есть квадоподкруты явно достигаются путем увеличения крутки партнерши. Собственно, о ней следующая таблица.
Угловую скорость вращения партнерши в воздухе (RPS) мы рассчитали по одному второму обороту в случае тройных и по полутора-двум оборотам в случае квадов. Погрешность как всегда большая, поэтому различия в пределах 0.2 rps всерьез воспринимать не нужно, тем более, что большинство значений конкретно здесь - это среднее по двум-трем попыткам, а не одной лучшей. В табличку сразу включены и тройные, и четверные. Поэтому 4 пары здесь присутствуют дважды. Квады выделены синеньким:

Какой-то невероятный отрыв был достигнут только канадкой Кирстен Мур-Тауэрс (при поддержке Майкла Маринаро) - крутится в воздухе быстрее всех квадистов. Но если заметить, что взлетает Кирстен в лучшем случае где-то на 30 см (почти ниже всех), то это и не очень удивительно.
Если взять канадцев за скобки, то становится очедвино, что квадоподкруты достигаются именно за счет увеличения крутки, а не высоты. Это почти однозначно. Но это уже неоднократно отмечали и до нас.
Напоследок добавим, что очень достойный по качеству квадоподкрут продемонстрировали наши юниоры Полина Костюкович и Дмитрий Ялин на 5 этапе ЮГП в Загребе. Я бы сказал, вообще лучший. Можете лишний раз насладиться им.
Его характеристики:
-суммарная высота - 286 см;
-время в полете - 0.767 сек;
-макс. угловая скорость партнерши - 5.00 rps (!).
Не самая огромная высота пока объясняется сравнительно низким ростом партнера, а вот крутка у девочки просто зашкаливает. Кстати, это не единственные наши юниоры, исполняющие четверной твист, но выделить мы пока решили только этот случай.
Часть вторая. Выбросы
C выбросами дела обстоят немного проще, чем с твистами. Здесь высота складывается только из двух кусков. Первый - это высота подъема партнерши надо льдом в момент броска в борт выпускания, второй - высота добираемая уже в полете.

Первую часть h0 нам вновь пришлось считать с помощью линейки по пикселям используя данные о росте партнера. По прежнему набегает приличная методическая погрешность - партнеры могут изгибаться самым разнообразным способом в момент нужного кадра, некоторые из них заметно подпрыгивают надо льдом, как, например, Чарли Билодо. В таких случаях приходилось немного добавлять/отнимать линейкой расстояние от лезвия до льда. Но каких-то катострофических расхождений с реальностью быть не должно.
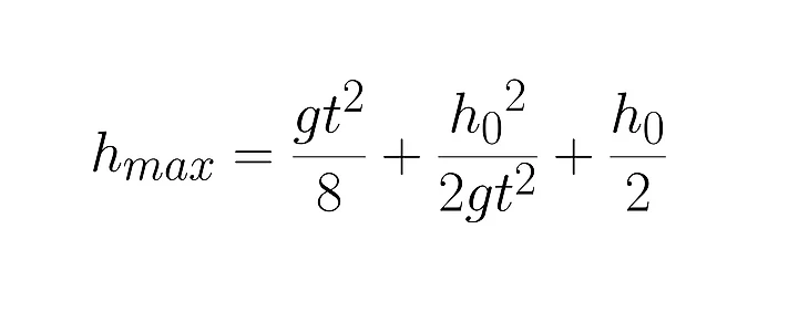
Вторую часть h1 мы вновь считаем покадровым методом - от момента вылета из рук партнера до момента касания льда (чаще всего, всей стопой). В данном случае у нас тело летит не по полной параболе, а с начальной высоты h0. Соответственно, с учетом этого, наша старая формула жэ-тэ-квадрат-на-восемь становится немного хардкорнее

(*ну можно убедиться, что если h0 = 0, то есть высоты подъема нет, то она превращается в нашу обычную формулу)
Заметим, что нужный кадр (именно тот, когда партнер все зависящее от себя уже сделал, все свои силы передал, и партнерша уже летит своим ходом) часто определить нелегко. Во многих случаях мешает ракурс. Более того, выброс выбросу рознь, поэтому нередко сами фигуристы исполняют один и тот же элемент по-разному - все же это парный элемент, и здесь очень многое зависит от синхронизации между партнерами. Поэтому в некоторых случаях у нас выходило так, что на разных попытках одного и того же типа выброса бОльшая или мЕньшая доля высоты приходилась на разные участки - например, один раз на подъем (h0), другой раз на свободный полет (h1). Но, что интересно, суммарная высота каждый раз выходила примерно одинаковой. То есть метод как будто работает неплохо, но технические заморочки не позволяют точно рассчитать отдельные участки.
Перейдем наконец к результатам. В этот раз мы ограничились только высотой, на крутку партнерши забили. Здесь это не очень интересно, потому что в подавляющем большинстве случаев высоты на выбросах с запасом хватает чтобы скрутить требуемое кол-во оборотов - недокруты на выбросах крайне редки. Даже более сложные четверные выбросы чаще не получаются из-за раннего раскрытия партнерши в воздухе, что больше связано с психологией, чем недостатком высоты или крутки (может быть, конечно, нам так просто кажется). Но показатели угловой скорости здесь у всех будут не впечатляющими, поэтому смысла приводить их нет.
(*ну, может есть, но нам лень)
Итак, ниже вы увидите таблички для каждого типа выброса - по тройным сальхову, риттбергеру, флипу и лутцу, а также по четверному сальхову. Также у нас нашлось по одному измерению для выброса трикселя и квадоритта (и вы конечно уже догадались, о каких парах идет речь). Так уж повелось, что выброс тройного тулупа не слишком популярен у топов, поэтому из номинантов его вроде никто не исполнял в текущем сезоне.
Короче, к результатам. Вот так выглядит таблица высот для 3STh - самого популярного из выбросов. Вновь в первой колонке указана максимальная высота в полете, во второй - время полета, в третьей - турнир, с которого взята попытка. Для тех пар, кому мы рассчитали больше одной попытки, мы всегда указываем лучшую по высоте:

С очень приличным отрывом номинацию выиграли наши двукратные ОЧ. Рискну предположить, что из действующих пар никто и близко не набирает таких сантиметров, как Татьяна над катком в Сочи. Но так как пары мы смотрим меньше одиночных видов, я бы нам не доверял так уж сильно.
(*тут я и нам - это разные семантические категории)
Изначально этот отрыв был еще более гигантским, но после замера попытки ЮЖ со Skate America он все же сократился до реалистичных размеров. Но можно заметить, что у китайцев эта высота набралась в большей степени за счет начального подъема (почти на 90 см), а не скорости запуска.
Следующий рейтинг - выброс тройного ритта. Вот так он выглядит:

По-прежнему с приличным отрывом впереди наши прославленные ОЧ - Татьяна Волосожар и Максим Траньков. На этот раз высота вообще рекордная для всех сегодняшних выбросов - взлет в воздух на 135 см. Это два лутца Коляды в чистом виде.
И этот отрыв был бы еще более гигантским, если бы не ТМ. Наверное это все, что здесь можно сказать.
Кстати, здесь можно послушать интересные впечатления от самих ВТ о выбросах на ОИ в ПП, если вдруг кто не помнит. Собственно, судьбоносный 3STh засчитан именно оттуда.
Следующие два рейтинга представляют очень похожие друг на друга выбросы тройного флипа и лутца. И это не совсем шутка, потому что 3FTh и 3LzTh настолько однотипны, что даже сами спортсмены по-моему не всегда знают точно, что именно они исполнили, а наименование выброса определяют судьи исходя из ребра на отрыве (если это нормальные судьи) или исходя из заявки (если это деллетанты ленивые судьи). Вероятно, мы чего-то здесь не знаем, поэтому если у вас бОльший background по этой теме, оставьте нам содержательный комментарий в комментариях. Рейтинги по этим двум этим выбросам мы составили исходя из протоколов - у тех пар, у кого нашлась хотя бы одна соответствующая попытка в нынешнем сезоне, были добавлены в соответствующий рейтинг. И вот что вышло:


Всё же, такое ощущение, что чаще судьи определяют выброс как лутц. Хотя стоят они вроде бы одинаково по 5.5 баллов. По лутцу набралось на три пары больше. Правда, супервзлетающих ВТ и ТМ в этих двух рейтингах уже нет по понятным причинам, поэтому флип выиграли Суй-Хань с заметно менее высоким результатом, а лутц (в котором уже и самих китайцев нет) с еще меньшим результатом выиграли Савченко-Массо. Можно заметить, что у большинства пар, которые присутствуют в обеих табличках расхождения между высотой 3FTh и 3LzTh сравнительно небольшие. Можно также заметить, что у большинства пар вообще расхождений на любых типах выбросов особых не наблюдается.
Справедливости ради, отметим, что многие пары исполняют этот элемент больше в длину, чем в высоту. Например, СК, ЮЖ или те же ТМ. Но здесь это никак не отражено. В принципе, измерять длину пролета можно тем же графическим методом, что и у нас, но только при очень благоприятном ракурсе и наличию хорошо различимых метках на льду или бортах. Может быть потом кто-нибудь этим займется.
Перейдем к выбросам типа Ультра-Си. Самый долгожданный рейтинг вечера - это конечно же выброс 3ATh. Поскольку оформлять табличку из одной пары нам зашкварно, мы просто приведем победителя жирненьким шрифтом в торжественной манере:
TRIPLE AXEL (3ATh)
1. Savchenko - Massot (GER) Height = 113 cm Flight Time = 0.800 sec Skate Canada 2017 (SP)
Да, Алена набирает 113 см, из которых около 63 см с помощью Брюно. Ну, такая ощутимая помощь, я бы сказал. Кто молодец? Брюно молодец.
Перейдем к рейтингу более популярного квадосальхова:

Думаю здесь мы отчасти подтверждаем нашу гипотезу о том, что дополнительная высота на квадах особо не нужна - запас и так бывает приличный. Нужна только чуть более быстрая крутка (которую мы не померяли) и психологическая уверенность партнерши в себе.
Да, для разнообразия мы решили добавить отменный 4STh от СХ, показанный ими на ЧЧК-2016. Грех было бы его пропустить. Но можно заметить, что в их случае он намного ниже их же нынешнего 3STh. Единственное, чем это можно оправдать - для тройного мы посмотрели несколько разных успешных попыток и выбрали лучшую (а разброс вышел приличный - от 90 до 116 см), в случае же четверного выбор у нас был невелик. Больше тут нечего сказать.
Ну и последний рейтинг дня (или вечера, я не знаю) - крайне редкий выброс квадоритта. Вот так он выглядит:

К сожалению, последнее место в этом рейтинге заняла российская пара Кавагути-Смирнов. И ничего с этим не поделаешь.
:(
Часть третья. Тодесы
Тодес - один из самых малозначимых элементов в парном катании, если судить по базовой стоимости и количественному вхождению в программы. Перед тем как перейти к последним двум табличкам чуть-чуть ликбеза:
Тодесы бывают четырех видов
Вперед внутрь (FiDs) - самый легкий (обязателен в КП у взрослых и юниоров)
Назад внутрь (BiDs) - самый бессмысленный (видимо, он сложнее предыдущего, но стоит столько же. Встречается в ПП)
Назад наружу (BoDs) - самый сложный (чаще всего стоит в ПП в текущем сезоне)
Вперед наружу (FoDs) - самый еще более сложный (даже не в курсе, исполняет ли кто-нибудь сейчас)
Здесь можно на них на все посмотреть.
UPD:оказывается FoDs в текущем сезоне уже исполняли наши юниоры Дарья Павлюченко - Денис Ходыкин, но мы этот момент проспали.
Внутренние имеют bv 3.5, если исполнены на четвертый уровень, наружние - 4.5. Тодес в ПП у взрослых должен отличаться от обязательного в КП. У юниоров может не отличаться.
Что конкретно мы делаем в этой части выпуска? Мы измеряем две характеристики - полное количество оборотов в тодесе и угловую скорость обращения партнерши вокруг партнера.
Что касается первой характеристики: чтобы не брать на себя слишком много по субъективности, мы ограничимся углами до 45 градусов - то есть с точностью до одной восьмой части полного оборота. Заметим, что число оборотов напрямую связано с уровнем элемента - одну черту можно получить за счет сложного захода или выезда. Остальные черты добавляются по количеству полных оборотов в "низкой" позиции. То есть чтобы получить 4 уровень, нужно либо 4 полных оборота (чего по факту никто из номинантов не достиг), либо 3 полных оборота + сложный заход (или выезд).
Вторая характеристика - это наша любимая угловая скорость. В этот раз обращения партнерши вокруг партнера. Здесь возможностей замерить её поточнее чуть больше, так как тодесы сами по себе гораздо медленнее крутки на прыжках (в среднем, около 0.5 оборота в секунду). Скорость мы будем считать по первому полному обороту. В принципе, эта характеристика тоже важна, потому что вроде бы присутствует в критериях ГОЕ.
Итак, первый рейтинг по обязательному тодесу FiDs. Мы как всегда старались всем посмотреть оба этапа ГП (и ФГП, при наличии) и засчитать лучшую попытку (по числу оборотов) из двух-трех, но в некотрых случаях ограничивались просмотром одной попытки с более высоким уровнем. Итак, результаты:

В случае равенства числа оборотов мы сортируем по доп. параметру - угловой скорости.
Самую невероятную усидчивость в тодесах в КП проявляют Брюно Массо и Александр Энберт. Респект парням. Это более трех с половиной оборотов. При этом немцы делают это чуть быстрее, поэтому они в данном рейтинге на первом месте. Кто молодец? Брюно молодец.
Также прилично по времени посидел в тодесе Алексей Рогонов.
Заметим, что посчитанные нами 3 с лишним оборота (или 2 с лишним) здесь не везде совпали с наличием 4-го (или 3-го) уровня в протоколах. Во-первых, мы не рассматриваем наличие сложного захода/выезда. Во-вторых, обороты мы в основном считали по низкой позиции партнера - седалище должно быть не выше колена ноги, стоящей в тодесе. На партнершу налагаются свои ограничения, но их сложнее анализировать по видео. Но, например, не всегда они сразу достаточно быстро опускают голову ниже колена опорной ноги. Но основная идея здесь не в том, чтобы смоделировать тех. бригаду, основная идея рейтинга - посмотреть у кого насколько большой запас по оборотам.
Можно вспомнить, что какие-то замечания периодически проскальзывали в адрес наших первых номеров ТМ - в основном как раз по недостаточному числу оборотов. Действительно, на Капе в КП на их FiDs мы насчитали менее трех (около 2.88 оборота по нашей схеме округления), и у них вышел 3-ий уровень. Во Франции они сделали уже чуть больше 3-ех оборотов (около 3.13 по нашей схеме округления) и вышел 4-ый уровень. То есть добавили около четверти оборота. Ну не прямо дофига, но уже что-то. Затем в ФГП вновь вышел 4-ый уровень, но видимо совсем на грани, потому что мы насчитали ровно 3 оборота. То есть у них запаса явно нет, в отличие от остальных наших пар.
Но зато угловая скорость очень приличная.
Теперь рейтинг необязательных тодесов из ПП. У большинства это назад-наружу (BoDs), но пять пар исполняли назад-внутрь (BiDs - мы их отметили синеньким), так что рейтинг не совсем правомерный. Но мы считаем, что направление здесь важнее ребра, поэтому все смешали в кучу:

В этот раз заметного преимущества добились ДР и АР. Просто невероятную усидичивость проявляет Эрик когда речь заходит о задних тодесах. В смысле назад-наружу. Ну оно и не удивительно. Все таки музыкант, пианист.
Мы также вспомнили, что в нашем дебютном пятом выпуске по спортивным парам на этапах ГП сезона 15/16 был рейтинг по лучшим баллам за два тодеса, который тогда канадцы убедительно выиграли. Может быть, это как-то связано. Во всяком случае, большее количество оборотов здесь должно добавлять плюсов. Это логично.
Хотя, в целом, по сумме двух рейтингов, лидерами в тодесах наверное нужно признать либо подопечных Артура Дмитриева, либо Савченко. Тем более, что в пользу Алены играет еще и высокая скорость обращения вокруг партнера. Очень высокая. Кто молодец? Алена Брюно молодец.
Правда, абсолютно рекордную скорость в наружнем тодесе развили СХ - у ним мы насчитали 0.64 rps. У действующих ЧМ, как видно, в Произвольной времени сидеть на месте совсем нету. С другой стороны, чем меньше сидишь, тем больше времени на хорошее покрытие катка, которое поднимает компонент CO.
Из печальных новостей, стабильно низкий уровень наружнего тодеса у ЗЭ. На всех виденных нами попытках не набирается даже двух полных оборотов. Даже на ЧР. Это мы вероятно еще лояльно считали. Почти все время у них выходит первый или второй уровень за этот элемент. Но мы вероятно чего-то здесь просто не знаем.
Вообще, мы много чего не знаем...
Скажем так, мы знаем гораздо меньше чем, не знаем...
Ну или, другими словами, мы не знаем гораздо больше, чем знаем...
Ну и т.д.
Многие совпадения отчасти подтверждают, что наши методы более менее применимы, и не все происходит от балды. Но их конечно можно усовершенствовать. На этом 19-й выпуск подошел к концу. Мы все еще не загнулись. Оставайтесь с нами. Любые замечания и предложения в комментариях приветствуются. Может быть, не сразу, но как только мы просыпаемся, они тут же приветствуются,

Pashka Ternov

















Спасибо, как всегда познавательно и интересно)
Спасибо за циферки и тонкий ненавязчивый юмор, мой любимый бложик)) Как всегда, на одном дыхании, зачем-то заглянула на спортс с утренним кофе, теперь опаздываю :D
Канадской адской женщине-комментатору☺. А то у неё у Дюамелей не подкрут на 2, 64 (11 место), а просто-таки "анбелииииивбл твииииист, соооооо хааааай"
Спасибо за пост!
----
Нет. Она сумасшедшая. ☺
Очень понравилось что отмечены высокие погрешности вычисления выброса и подкрута . Сам я высоту подкрутов не считал но с высотой тех выбросов что считал в целом бьется , по крайней мере порядок величин тот же , следовательно расчеты Паши можно использовать с определенными оговорками (каковых впрочем и в самом посте достаточно)
Так что в отличии от прыжков - очень общая приблизительная оценка
Позор, просто позор такому наглому сливу замечательной спортсменки!
А вам большое спасибо за интересный пост про пары. В принципе, и так было известно, что у Траньков самые качественные элементы (кроме тодеса). Великие чемпионы. Радует, что Рыжи пошли по их пути.
Да, у неё даже были шаги перед тем лутцем, поэтому на +2 по идее должно набираться
Спасибо за очередной шикарный пост. Вот это работу вы провернули! И юмор у вас просто прекрасный.
Интересная информация по Дане. Значит, есть шанс на хорошие прыжки.
Лутц Лизы - само совершенство.
Под шумок тут и новую меру измерения придумали - (38 попугаев) лутц Коляды.
Подкруткой Костюкович/Ялина в Загребе я тоже любовалась, когда смотрела этап.
Таня - настоящая золотая партнёрша, а Алёнка не зря себе шкаф выбрала, хех (и, видимо, не из Икеи). ТМ, надеюсь, улучшат тодес (я, всё-таки, не очень поняла, чем они различаются).
Спасибо за отзыв)