Лига капперов FFC. Итоги 17 тура + Ставки на 18 и 19 туры
Прошел 18 тур РФПЛ и по совместительству 17 тур Лиги капперов и пришло время подвести итоги.
В восемнадцатом туре проекта приняли участие 4 пользователя. Всего было сделано 16 ставок, из них прошли лишь 2 - основным спонсором участников стала франшиза Бесславные ублюдки, одержавшая победу при коэффициенте 10,63.
Прежде чем перейти к итогам тура - опять же несколько небольших традиционных объявления.
1. Мы всегда рады новичкам. В этот проект можно вступить в любое время, новичку будет выдан стартовый капитал в размере 1000 ф.у.е. Подробнее о правилах можно прочитать в этом посте. Прием ставок по долгосрочным линиям и h2h формат закрыты для участия, но мы рады новичкам в формате Общего зачета.
2. Я думаю стоит оставлять пример ставки, во избежание дальнейших проблем. Спасибо всем, кто следовал образцу.Поэтому я еще раз приведу формат ставки с пояснениями. Ваша ставка должна выглядеть следующим образом: Команда1_Команда2;Исход;Сумма. Например, GOMEL CITY_Legends of the Summer;П1;100. Прошу обратить внимание на отсутствие пробелов вокруг знаков ";".Названия команд прошу копировать из линии в данном посте во избежания проблем с написанием и распознаванием. Варианты исходов - П1, Х, П2. Для отображения ничьи прошу использовать русскую букву Х. Спасибо.
3. (!!!) В этом посте будут даны линии на 19 тур РФПЛ (18 тур Лиги капперов) и на 19 тур Лиги капперов (шестой тур группового этапа Лиги Чемпионов).
4. Напоминаю, что у нас действует лимит в 5 ставок в туре. В противном случае мной будут учитываться лишь первые 5 ставок, остальные просто отбрасываться. Таким образом в комментариях вы можете оставить 10 ставок - 5 на РФПЛ, 5 на ЛЧ. Ну а теперь - к итогам.
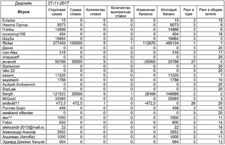
17 тур Лиги капперов (24.11-27.11.2017)

Количество выбывших игроков:8
Разбудите меня ночью, я все равно назову вам человека, выбившего в очередной раз лучшую сумму в туре. Ricker не оригинален, снова 1 успешная ставка и сразу плюс 100 тысяч. Второе место в туре у SergK, набравшего почти 30 тысяч и укрепившегося в общем зачете на втором месте. На данный момент SergK выглядит на ближайшие туры единственным, кто способен обогнать Рому при определенном везении. Ну и напоследок, печальные новости - в ряду вылетевших пополнение - турнир покидает android11.
16 тур H2H Лиги капперов (24.11-27.11.2017)

В этом туре в h2h наконец случилась личная встреча двух лидеров как в общем зачете, так и в H2H. SergK уступил в данном поединке и потерял первую строчку в H2H турнире, впрочем, тут все очень непредсказуемо.
Таблица результатов этого тура:

Важная информация! Сумма ваших ставок не должна превышать величину итогового баланса по итогам прошлого раунда! Для новичков турнира сумма ставок не должна превышать 1000.
Линии на 18 тур Лиги Капперов (19 тур РФПЛ)
ИСТИНA_Kraftvoll Gartenzwerge 1,24 3,33 6,88
Red Wings_Фиеста 1,08 3,33 11,97
ДОСТУЧАТЬСЯ ДО НЕБЕС_Свободный Ум 2,72 3,33 1,72
Летучий Голландец_02.KZ 1,34 3,33 4,87
Ice Planet_DZD 1,74 3,33 2,67
4-4-2_Фавориты 7,89 3,33 1,21
Сделано в Казахстане_Легенда 11,47 3,33 1,09
Spartak Moscow_Каустобиолиты 1,25 3,33 6,65
Соль без перца_Мечта 2,61 3,33 1,77
Mad Meat_Major League Gambling 4,82 3,33 1,35
Armada Invencible_Fassa 7,78 3,33 1,22
Балтика_Витязь 1,35 3,33 4,74
Magnificent Seven_Северное Сияние 2,55 3,33 1,79
Профкомовский каток_Cockfosters FC 1,60 3,33 3,09
CSE Alnas_Academ Fantasy Community 1,23 3,33 7,46
Мэдисон-Авеню_Dark Horses 1,71 3,33 2,73
Боевые покемоны_LIFE! 1,72 3,33 2,72
Мачете_Club255Crew 1,11 3,33 10,63
Дятложуи_Революция 1,46 3,33 3,80
Тотал Больше_GOMEL CITY 1,87 3,33 2,41
Вардар_Fratelli d'Italia 1,54 3,33 3,34
Бесславные ублюдки_The Avengers 3,27 3,33 1,55
Better than Stout_Cosmos 1,86 3,33 2,43
Legends of the Summer_Intellectuals Team 5,74 3,33 1,29
KENIG_Hurricanes 3,63 3,33 1,48
Сборная Гондураса по хоккею_Unity 3,39 3,33 1,53
Михей и Джуманджи_Евразия 1,39 3,33 4,36
Эспирето_Red Army 1,70 3,33 2,76
УсПей_Dream Team (Talalaivka) 1,81 3,33 2,51
БИОКОР_Стеночки и Забегания 1,68 3,33 2,82
FARSEEING GOODWIN_Новочеркасский вентилятор 2,56 3,33 1,79
Классика Жанра_Волго-балт 2,67 3,33 1,74
Fedayis_бом бам мбия 1,80 3,33 2,53
Ратамахатта_Неудержимые 1,71 3,33 2,73
БАРС_Свиноферма 3,09 3,33 1,60
Smoking Raw_Запароленный футбол 1,72 3,33 2,72
WFLP Armenia_ФУТБОЛЬНЫЙ КЛУБ 1,46 3,33 3,79
Шторм_Хельсинкские джокеры 1,78 3,33 2,58
Орден Красной Звезды_footter.com 1,83 3,33 2,47
FC Viking_Siberian region 1,09 3,33 11,47
Линии на 19 тур Лиги Капперов (6 тур ЛЧ)
Intellectuals Team_Better than Stout 1,31 3,33 5,35
Балтика_Мачете 3,11 3,33 1,59
Cosmos_Легенда 3,24 3,33 1,56
Эспирето_CSE Alnas 2,69 3,33 1,73
Kraftvoll Gartenzwerge_Red Wings 2,60 3,33 1,77
Каустобиолиты_Фиеста 1,58 3,33 3,16
Мэдисон-Авеню_Сделано в Казахстане 1,60 3,33 3,06
Соль без перца_DZD 2,81 3,33 1,68
Cockfosters FC_Фавориты 1,44 3,33 3,89
Дятложуи_Свободный Ум 7,35 3,33 1,23
Мечта_The Avengers 1,74 3,33 2,67
УсПей_ДОСТУЧАТЬСЯ ДО НЕБЕС 10,08 3,33 1,18
4-4-2_Magnificent Seven 2,80 3,33 1,69
Fratelli d'Italia_Летучий Голландец 1,84 3,33 2,45
Ice Planet_GOMEL CITY 1,70 3,33 2,76
LIFE!_ИСТИНA 2,72 3,33 1,72
Как обычно, ставить на ЛЧ можно вплоть до дедлайна, так что не забываем либо сразу ставить на оба тура, либо заглянуть сюда после окончания РФПЛ.







Комментарии
УсПей_ДОСТУЧАТЬСЯ ДО НЕБЕС;П1;500
Мачете_Club255Crew;П2;500
Михей и Джуманджи_Евразия;П2;500
БАРС_Свиноферма;П1;500
Летучий Голландец_02.KZ;П2;1000
Сделано в Казахстане_Легенда;П1;1000
Armada Invencible_Fassa;П1;1000
Балтика_Витязь;П2;1000
ИСТИНA_Kraftvoll Gartenzwerge;П2;1000
Red Wings_Фиеста;П2;2000
4-4-2_Фавориты;П1;1000
Бесславные ублюдки_The Avengers;П1;1000
Сделано в Казахстане_Легенда;П1;2000
Red Wings_Фиеста;П2;7000
Сделано в Казахстане_Легенда;П1;7000
Мачете_Club255Crew;П2;7000
Armada Invencible_Fassa;П1;7000
FC Viking_Siberian region;П2;7000
Сделано в Казахстане_Легенда;П1;50000
Red Wings_Фиеста;П2;50000
4-4-2_Фавориты;П1;50000
Armada Invencible_Fassa;П1;50000
УсПей_ДОСТУЧАТЬСЯ ДО НЕБЕС;П1;2000
Cockfosters FC_Фавориты;П2;2000
Intellectuals Team_Better than Stout;П2;2000
Дятложуи_Свободный Ум;П1;2000
Cosmos_Легенда;П1;2000
Intellectuals Team_Better than Stout;П2;40000
Дятложуи_Свободный Ум;П1;20000