Как игра на стандартах помогла «Челси» выиграть АПЛ
После победы «Манчестер Юнайтед» над «Уотфордом» Жозе Муриньо поделился своими впечатлениями об игре команды Конте: «Челси» очень хорошая оборонительная команда. Они отлично защищаются большим числом игроков. И я думаю, что на данный момент победу в лиге одержит команда, которая хороша в обороне, контратаках и на стандартных положениях. Не думаю, что они потеряют своё преимущество, но в футболе бывает всякое».
Со стандартных положений, таких как: штрафные или угловые сложно забивать. Так как же «Челси» удавалось делать это раз за разом в прошлом сезоне?

В прошедшем футбольном году парни Конте забили 22 раза со 160-и ударов после розыгрыша стандартов. Конверсия 13,75% и лучше она была только «Вест Брома» (17,86%). По этому показателю команда заняла пятое место из 160 команд, сыгравших в восьми последних сезонах (статистика более раннего периода не доступна). Большая часть ударов совершалась после стандартов, таких как угловые с которых выполняется подача.
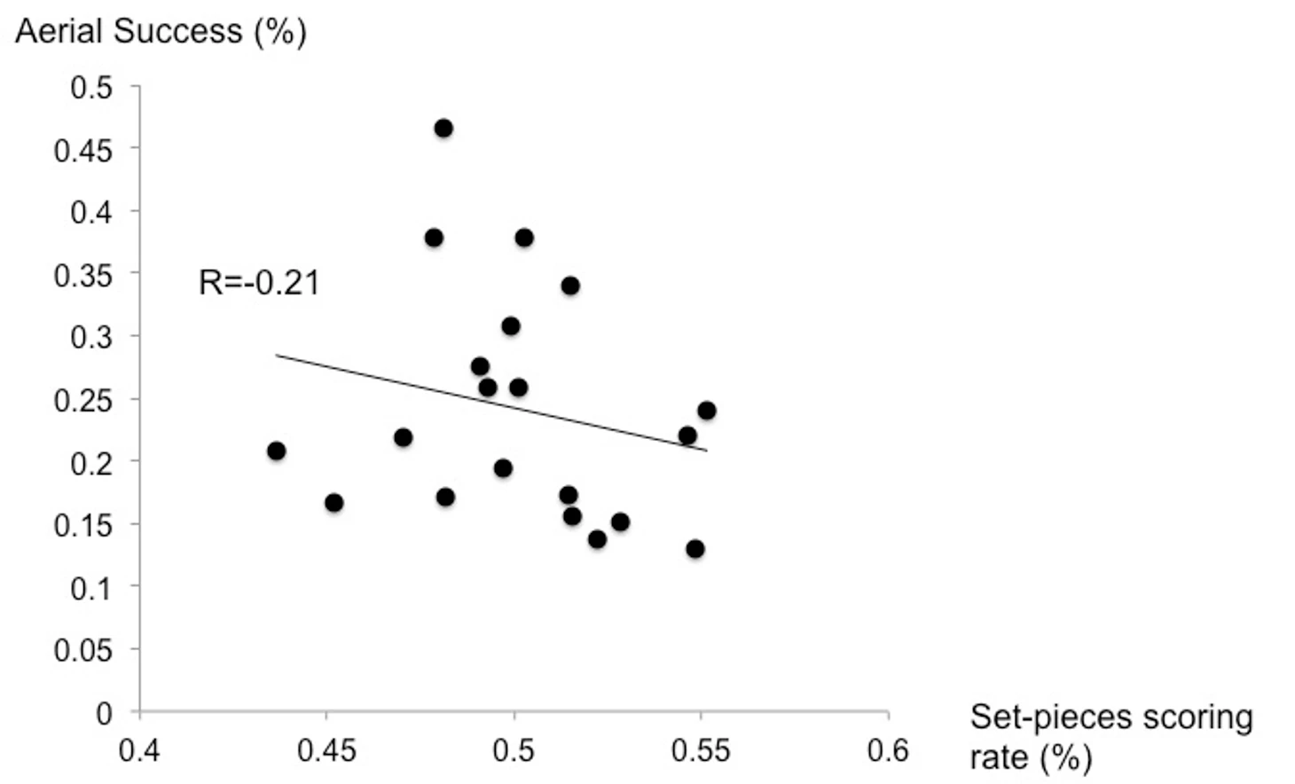
Однако, некоторые считают, что для реализации стандартных положений команде достаточно доминировать над оппонентом в верховых единоборствах. Это предположение неверно: параметры «верховое единоборство» и «стандартное положение» имеют отрицательную корреляцию.

Но «Челси» забивает не только с угловых, и не просто ударом головой после подачи в штрафную. Они или полагаются на прямые удары классных исполнителей, или используют специальные тактические розыгрыши.
Давайте посмотрим на розыгрыши штрафных и угловых:
Виллиан (и Луиз) фантастические исполнители штрафных, которые забили много мячей в последние годы.
Видео: гол Виллиана прямым ударом
Но при Конте, «Челси» использует различные тактики, чтобы облегчить бьющему исполнение штрафного:
Видео: партнёры мешают стенке
Здесь игроки «Челси» располагаются вокруг стенки «Тоттенхэма», состоящей из шести человек. Аспиликуэта и Педро пытаются её разрушить. Важным здесь является то, что Матич и Алонсо располагались между игроками «шпор». Фактически они стали частью этой стенки и обеспечили Виллиану возможность пробить сквозь неё.
Видео: розыгрыш штрафного
Азар и Виллиан мешают защитникам «Сандерленда», оккупировавшим середину, чтобы помочь партнёрам в дальней части поля. Три защитника «котов» опекают Терри, Косту и Алонсо. Прежде чем Луис совершит навес в штрафную, Терри и Коста начнут движение. Алонсо двигается в обратную сторону, чем блокирует защитников. В итоге Терри и Коста получили преимущество 2 в 1 у дальней штанги. Алонсо в данной ситуации сыграл в заслоне, как это часто бывает в баскетболе.
Видео: розыгрыш углового
Кэйхилл и Луиз одновременно начинают движение в одну точку, а затем разбегаются в разные стороны. Коста играет в заслоне, чтобы заблокировать «опекуна» Давида. Но все эти перемещения были разрушающими, потому что мяч был подан на дальнюю штангу, где его принял Кэйхилл.
Видео: против зональной обороны
«Эвертон» играет зону. Матич начинает движение, что является сигналом о том, куда должен направляться мяч. Алонсо стягивает игроков в ту же зону. Луиз делает забегание, и тоже действует как разрушитель. Движение назад от Косты и движение вперед от Кэйхилла создают ситуацию 2 в 1 в центре штрафной, и естественно, что Коста забивает.
Видео: против персональной обороны
«Лестер» играет с персональной схемой. Матич движением показывает куда нужно подавать. Алонсо, Кэйхилл и Луиз играют разрушителей – они одновременно стягивают всех защитников «Лестера» в одну кучу. Коста единственный футболист, который двигается в другую сторону, и получает мяч в гордом одиночестве.
«Челси» использует «сигнальные огни», заслоны и разрушителей, что смотрится элегантно и креативно. Многие команды используют эти тактики и не очень часто. Но найдётся очень мало команд, которые используют их все одновременно и на постоянной основе. Эти тактики - главная причина, почему они забивают так много мячей со штрафных и угловых. Конте работает великолепно. Футболисты «Челси» забивали с 9,32% ударов после стандартных положений в сезоне 15/16. Конверсия скакнула до 13,75% в 16/17. Увеличение на 4,43% - это шестнадцатое место среди 118 команд в АПЛ за последние 8 сезонов. Конте заслужил эту славу, и он её получил.
Так прав ли был Моуриньо, когда говорил, что голы со стандартов и на контратаках позволили «Челси» выиграть титул?
В прошлом сезоне, футболисты «Челси» забили больше голов со стандартов и контратак чем кто-либо ещё. Потому Жозе категорически прав. Ну и теперь нужно понять сколько из 93-х очков «аристократы» получили за те 29 мячей. Сколько бы очков они заработали, если бы забили только четырнадцать мячей (как сезоном ранее)? Нам нужна математическая модель, которая показала бы как разница в 15 голов сказалась бы на наборе баллов.
Голы будут оказывать наибольшее влияние в тех моментах, в которых они непосредственно влияли на исход (0-0, 0-1, 3-2 и т.д.). Чем больше разница в счёте, тем меньше влияния оказывает гол. Мы можем вычислить вероятность гола, разделив 15 мячей на 38 матчей. Однако, тогда метод не будет учитывать перепады в количестве забитых, распределяя голы равномерно. Другими словами, все игры различаются по счёту. Если бы всё было идеально, то Конте выиграл бы все матчи, потому что средняя разница забитых-пропущенных равна +2,2. В реальности же, голы имеют нормальное распределение.

Поэтому многие из них были «бесполезны» для набора очков, т.к. не влияли на исход игры. Чтобы точно определить, сколько очков «Челси» собрал со стандартов, нам нужна нормальная модель распределения для данного расчета.
Очки = Голы *[(вероятность того, что ничья станет поражением*1)+(вероятность того, что победа станет ничьёй)*2+(вероятность того, что ничья станет победой*3)].
Вряд ли здесь нужно что-то объяснять.

Чтобы проверить правильность этой модели, мы используем её, чтобы предсказать, как голы со стандартов повлияют на набор очков. Модель предсказывает, что из 22 голов, восемь помогут изменить ход игры и заработать 13 очков. На самом деле, в последнем сезоне, семь голов «Челси» со стандартов изменяли результат в 5 играх, и позволили заработать 11 очков. Таким образом наша модель ошибается меньше чем на 20% при крайне малой выборке.
Как упоминалось ранее, если «Челси» забьёт среднее количество голов со стандартов и контратак, они наберут на 15 голов меньше. Наша модель предсказывает, что тогда они заработают на 9 очков меньше. При тех же условиях «Тоттенхэм» будет иметь на два очка меньше, потому что они забили лишь на два мяча выше среднего. Однако, и «Челси» и «Тоттенхэм» будут иметь по 84 очка, и последние выиграют чемпионат, потому что будут иметь лучшую разницу забитых-пропущенных мячей. Но не забывайте про 20%. Модель может соврать, если «Челси» потеряет не 9, а семь очков. Тогда «синие» будут чемпионами.
Тем не менее, мы получили высокий уровень уверенности в том, что отличная игра команды Конте на стандартах значительно поспособствовала набору очков. Другими словами, Моуриньо был прав.
Спасибо, что прочитали перевод. Оригинал статьи можно найти здесь.
Не забывайте подписываться и плюсовать, если вам понравилось.
Я VK.
Пообщаться о футболе можно здесь
При копировании материала, перекреститесь.












