Доминирование ЦСКА и другие xG результаты 21 тура РФПЛ
Сейчас будет несколько общих вещей для тех, кто не совсем в курсе темы xG, искушенный читатель может сразу переходить к результатам.
Система xG (Expected goals) призвана оценить суммарную опасность созданных и допущенных моментов, благодаря ей можно более детально с помощью цифр оценить, как развивалась игра, кто имел перевес, лучше защищался и создавал лучшие шансы.
Для подсчета я использовал так называемый Simple xG – систему, в которой учитывается только позиция бьющего (соответственно дистанция и релятивный угол заложены) и часть тела, которой наносился удар. Конечно, это достаточно упрощенный вариант, но в качестве базы пойдет и он. Более подробно об усложненной системе xG можно почитать по ссылкам ниже:
Что такое xG? (Создатель самой популярной модели Майкл Кэйли отвечает на основные вопросы, англ)
Описание полного метода xG Майкла Кэйли (англ)
Обновляемые сводные таблицы по АПЛ
Обновляемые сводные таблица по Бундеслиге, Примере и Серии А
Описание нескольких xG моделей (Вадим Лукомский, русский)
Помимо xG я планирую также подсчитывать количество нанесенных и допущенных ударов из danger zone – зоны 1, 2 и 3 на карте (места, удары из которых имеют наибольшие шансы конвертироваться в гол).

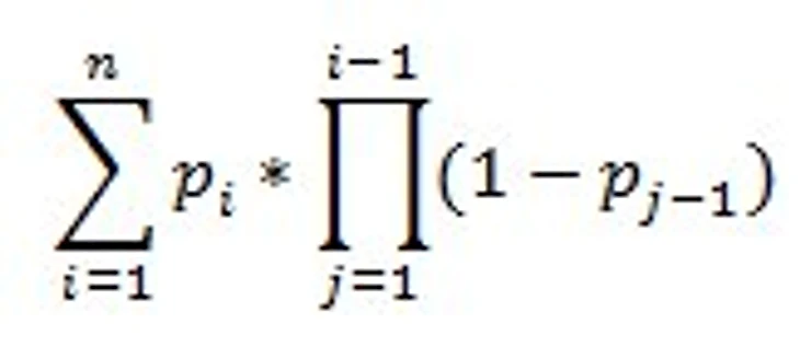
Проблему с несколькими ударами в одной атаке, как и говорил, планирую решать с помощью вот такой формулы:

Конечно, она не дает полного решения, потому что в случае трех ударов в одной атаке с коэффициентами, скажем, 0,8, 0,7 и 0,5 суммарный xG всей атаки будет чуть больше одного, но такими случаями вполне можно пренебречь, потому что их очень мало.
Помимо расчетов по каждому туру планирую создавать сводные таблицы по типу Кэйли. Плюс отдельные таблицы по вратарям (сколько xG предотвратили, сколько xG на сэйв и т.д.) и по полевым (в первую очередь процент реализации).
Пенальти планирую добавлять в сводные таблицы с коэффициентом 0,8 (навскидку кажется, что именно таков процент реализации). Автоголы будут пропадать – на дистанции их не так много.
К делу.
«Амкар» – «Ростов» (0:0)
xG: 0,72 – 0,78
Удары из DZ: 2 – 5
«Анжи» – «Спартак» (0:4)
xG: 0,74 – 2,1
Удары из DZ: 1 – 8
Помазан пропустил 4 из 5 ударов, чей xG превышал 0,1 (отбивал только простые).
Самый опасный момент матча (удара Попова на 24 минуте с коэффициентом 0,36) не был реализован.
«Уфа» – «Динамо» (0:1)
xG: 0,4 – 0,69
Удары из DZ: 2 – 4
«Терек» – «Урал» (1:1)
xG: 2,58 – 0,75
Удары из DZ: 11 – 3
1,36 xG «Терека» пришлось в створ, Заболотный отразил 1,22 – фантастический показатель.
ЦСКА – «Кубань» (2:0)
xG: 3,7 – 0,01
Удары из DZ: 9 – 0
Создается впечатление, что играли команды из разных лиг. ЦСКА создал больше всех в этом туре и меньше всех допустил.
«Армейцы» создали для Мусы три момента с xG 0,5 и более – форвард реализовал два, загубив самый опасный (0,61)
«Крылья» – «Зенит» (0:2)
xG: 1,05 – 0,7 (+1 пенальти)
Удары из DZ: 5 – 2
Лодыгин парировал 0,47 xG, отразив самый опасный удар с игры – от Молло на 42 минуте. Именно благодаря этому спасению кипера «Крылья» не смогли вернуться в игру.
«Рубин» – «Мордовия» (1:1)
xG: 0,97 – 1,31
Удары из DZ: 3 – 5
«Краснодар» – «Локомотив» (1:2)
xG: 0,86 – 1,16
Удары из DZ: 2 – 4
Новичок гостей Хенти запорол два неплохих момента – коэффициенты 0,18 и 0,22.
Из 1,16 xG «Локо» 0,92 пришлось в створ – отличная точность.
Крицюк отбил 0,54 xG.

















