За что нам это наказание? Анализ штрафных. Часть 1
От редакции: вы читаете пользовательский блог, где анализируют данные, описывающие жизнь в лучшей лиге мира. Автор также анализирует количество плюсов, подписчиков и комментариев, так что не стоит его подводить.

Основная идея обучения с подкреплением — наказывать за неугодное поведение и премировать за желаемое. Именно с этой целью («ну чтобы поменьше грубости на поляне») добавил в правила штрафные броски Джеймс Нейсмит. Однако, так как баскетбольный матч — это игра с нулевой суммой, то наказание для одной команды автоматически становится поощрением для другой, а значит этого поощрения можно и нужно добиваться. И мысль это возникла в баскетбольных умах задолго до того, как другой Джеймс (тот что Харден) сделал из этого целый прием и довел его до <слово «совершенство» тут совершенно не подходит>.
Для меня, как для зрителя, просмотр пробития штрафных — тоже так себе награда и при возможности я их проматываю. Исключение — броски с линии под огромным давлением ответственности и зрителей. Как здесь, например
Зачем же тогда про них писать? Потому что их много: много у команд, много у отдельных игроков. Прямо раздолье для статистического анализа, которого должно хватить аж на две части (штрафные же чаще пробиваются по два). Пробитие будет как в NCAA: если первая (попроще) зайдет, то будет и вторая (позаковыристее).
Общая картина
Согласно правилам для того, чтобы встать на линию, есть множество путей:

Но если уж добрался туда, то исхода всего два (каким образом бы ни совершался бросок): попадание или промах. Всего в сезоне-2019/2020 с его начала и до «пузыря» пробили 44429 штрафных броска, из них попали 34254, что дает почти 77.1% точности. При этом средняя точность всех игроков, исполнивших хотя бы 1 штрафной, составляет 74% (задумайтесь над этим!).
Герои наших дней
Но кого интересуют средние игроки, всем звезд подавай (ну или хотя бы только тех, кто бросил более 50 раз с линии).

Джеймс Харден недосягаем, абсолютно.
Красным выделены те, кто показал худший и лучший процент, имея 50+ бросков:
Джарретт Калвер, будучи студентом, демонстрировал посредственную точность (65 и 71 процент за 2 сезона в Texas Tech), но по сезону как-то совсем расклеился до 46% (выбор Финиксом и обмен в Миннесоту кого хочешь подкосят). Хотя парень молодой и может еще исправится.
Брэд Уонамейкер же планомерно улучшал свой показатель с линии в течение всей карьеры и вот вышел на элитные 90+ процентов. Кстати в сезоне-2017/2018 он был крайне важным элементом в игре турецкого Фенербахче, который тогда защищал свой титул в финале Евролиги, но уступил мадридскому Реалу с Лукой Дончичем в составе. Пожалуй, у них есть ненулевые шансы когда-нибудь сыграть друг против друга и в финале НБА.
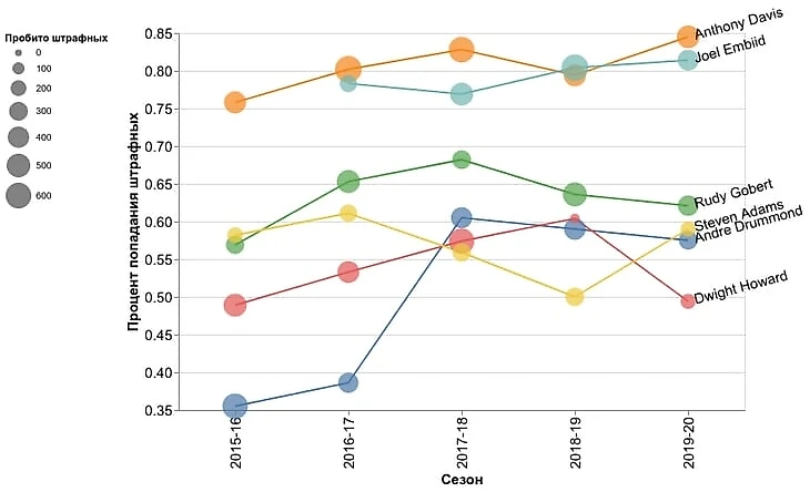
Звездная динамика
Кроме застывших данных за этот сезон, можно так же взглянуть и на изменения по годам для наиболее заметных персонажей. Заметность я оценивал на свой вкус и цвет. Напишите в комментариях, если хотели бы кого-то добавить.



Что? Как у Карри оказалось 100% точности? Как такое может быть? Вот как-то так: за 5 игр сезона он бросил 26 раз и все попал. Уж бросать то он умеет.
Значит ли что он действительно улучшил свой бросок с линии в этом сезоне? Вот с этим разберемся во второй части статьи.
Всем стабильного штрафного!
Фото: Gettyimages.ru/Scott Halleran













