Именинники на поле…16/03/2023. Комментаторам и всем заинтересованным. Вчера Погба стукнуло 30!
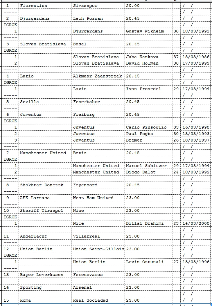
Вашему вниманию предоставляется информация о именинниках в текущих матчах.
В заголовке клубы-соперники и время матча
1я колонка - порядковый номер
3я колонка – клуб
4я колонка – игрок
5я колонка – полных лет
6я колонка – день рождения
