Мы не пересекались?.. 15/06/2024. Италия-Албания
Комментаторам и всем заинтересованным.
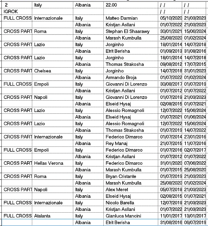
Вашему вниманию предоставляется информация 1.игроки выступали в прошлом за клуб-соперник. 2.Соперники играли за один и тот же клуб (возможно в разное время- NO CROSS)



Рубрика новая – отзывы и обратная связь приветствуется
Подписывайтесь, рекомендуйте друзьям, ставьте добайку, поощеряйте донатами.














