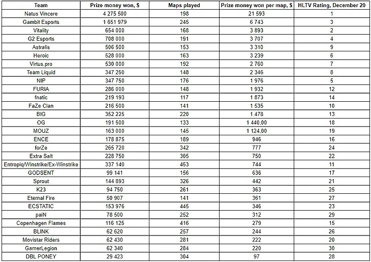
NaVi заработала в 2021 году больше $4 млн, Gambit — больше $1,5 млн
Аналитик CS:GO Николай a2wai Боровиков опубликовал статистику по количеству призовых, которые команды заработали в 2021 году.
Рейтинг возглавили украинская Natus Vincere и российская Gambit. В 2021 году они заработали за выступления $4 275 500 и $1 651 979 соответственно. Замыкает тройку лидеров Vitality — команда получила $654 тыс. Также в список попали Virtus.pro — $530 тыс, forZe — $265 тыс, Entropiq — $337 тыс, K23 — $94 тыс.
Отметим, что состав Gambit сыграл в уходящем году 245 карт — это самый большой результат среди тройки «богачей». У NaVi — 198 карт, у Vitality — 168.
Что касается остальных коллективов нашего региона, то Virtus.pro сыграла 192 карты, K23 — 261, forZe — 342. А вот явный лидер по этому параметру Entropiq. На её счету 453 карты. Это наивысший показатель среди команд топ-30 Hltv.





